Johdatus EMI-sähkömagneettisen suojauksen tietopisteisiin
Nov 03, 2022
Elektroniikkainsinöörinä kohinaa ja säteilyä on kaikkialla, ja elektroniikkasuunnittelijana tarvitaan tietoa EMI-sähkömagneettisesta suojauksesta, ja näitä tietoja ja ratkaisuja tullaan käyttämään laajasti parantamaan laitteita ulkoisista sähkömagneettisista häiriöistä.
Maxwellin yhtälöt osoittavat, että aina kun virta kulkee johtimen läpi, syntyy magneettikenttä ja tämä magneettikenttä luo sähkökentän. Sähkö- ja magneettikenttien säteilyominaisuuksia kutsutaan säteilyemissioksi. Nämä säteilypäästöt aiheuttavat ongelmia piirissä tai koko piirilevyssä (PCB). Ihanteellisessa piirissä itse piirin lähettämä signaali sisältää vain virran ja jännitteen, mutta todellisessa maailmassa kohina on väistämätön ongelma. Tämä tapahtuu, kun piirin signaalissa on häiriö. Sähkömagneettisten signaalien luonteesta johtuen kohinan esiintymistä ei voida välttää, mutta sen vaikutuksia voidaan vähentää huomattavasti. On huomattava, että muut laitteet eivät vaikuta laitteeseen käytön aikana, aivan kuten muut laitteet eivät vaikuta laitteeseen, sähkömagneettinen herkkyys on piirijärjestelmän kykyä pysyä toimintakykyisenä häiriötilanteessa. Tämä herkkyys riippuu käytetystä melutasosta, ja eri sovelluksissa, kuten autoteollisuudessa, lääketieteessä, armeijassa jne., on eriasteinen magneettinen herkkyys. Jokainen piiri, laite tai järjestelmä on suunniteltava oikein minimoimaan säteilytasot niin, että se on herkkä vain korkeille sähkömagneettisille kentille.
EMC-sertifikaatti
Sähkömagneettisen yhteensopivuuden (EMC) sertifiointi on pakollinen vaihe minkä tahansa tuotteen markkinoille tulolle, ja jokaisen tuotteen on läpäistävä EMC-testi sen varmistamiseksi, että se on asennettu vaikuttamatta muihin laitteisiin (esim. säteilytestaus) ja vaikka ympärillä olisi muita järjestelmiä. (esim. herkkyystesti).
Tyypillisesti elektroniikka on sijoitettu koteloihin, ja metallikotelot rajoittavat hyvin sähkömagneettista suojausta, mutta ovat suhteellisen epätäydellisiä. Piirilevyn ja kotelon liitoskohtaan ilmestyy reikiä tai rakoja, joiden läpi voi kulkeutua sähkömagneettisia kenttiä. Lyhyesti sanottuna EMI-suojauksen tarkoituksena on peittää nämä reiät tai raot. Lisäksi monissa tuotesuunnitelmissa on yhteinen ongelma: EMC-sertifiointi otetaan huomioon vasta suunnittelusyklin viimeisessä vaiheessa, jolloin koko suunnittelu jäätyy tässä vaiheessa, eikä EMC-insinööreillä ole varaa muokata tuotesuunnittelua. . Ratkaise sähkömagneettiseen toimintaan liittyviä ongelmia. Siksi täydellinen työkalusarja ja ekologia, ilman tarvetta muuttaa piirilevyä uudelleen, on ratkaisevassa roolissa EMI-suojauksessa. Miniatyrisointi ja korkea suorituskyky ovat aina olleet maailmanlaajuinen trendi elektroniikkatuotteiden kehityksessä, ja piirilevyillä on yhä lyhyemmät nousuajat ja nopeammat digitaaliset piirit. Mitä lyhyempi nousuaika, sitä suurempi kaistanleveys ja samalla pienempi aallonpituus. Tiettyjä ongelmia syntyy, kun piirin aallonpituudet ovat verrattavissa piirilevyn fyysisiin mittoihin. Jos nämä aallonpituudet ovat riittävän pieniä, ne voivat ulottua ulkopuolelle ja aiheuttaa häiriöitä muihin laitteisiin. Nämä aukot voidaan sulkea EMI-suojauksella (eli magneettisilla materiaaleilla, jotka auttavat peittämään nämä pienet reiät ja parantamaan mekaanisen kotelon Faradayn häkkivaikutusta).
Laske EMI-suojauksen tehokkuus ja ihon syvyys
Lukemattomia EMI-suojaimia on eri materiaaleista ja muodoista, mutta yleensä perimmäisenä tavoitteena on rajoittaa sähkömagneettisia kenttiä. Suojaelementti toimii esteenä sähkömagneettista säteilyä vastaan, itse asiassa tämän suojausmenetelmän prosessilla on valtava vaimennus, joka riippuu sähkömagneettisesta aallosta ja suojaelementin materiaalista. Kun aallot osuvat suojamateriaaliin, syntyy kaksi uutta aaltoa, jotka heijastuvat ja välittyvät. Siksi tulevan aallon energia jaetaan näihin kahteen aaltoon. Lähetetty komponentti on keskeinen relevantti komponentti, ja aalto kulkee suojamateriaalin läpi ulos. Suojan tehokkuus määrää sen kyvyn vaimentaa tätä komponenttia. Ihon syvyys on matka, jonka aalto voi kulkea ennen kuin sen amplitudi laskee arvoon 1/e, parametri, joka riippuu materiaalin läpäisevyyden, taajuuden ja resistiivisyyden tekijöistä, ja se voidaan arvioida seuraavalla lausekkeella:

Huomautus: σ edustaa johtavuutta, μ edustaa läpäisevyyttä, F edustaa taajuutta
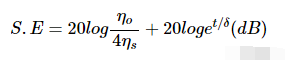
Suojamateriaalin käytön tarkoituksena on minimoida aallon amplitudi sen ohituksen jälkeen. Siksi on erittäin tärkeää valita oikea materiaalityyppi ja sen paksuus t, jotta varmistetaan, että järjestelmän kaikki taajuudet vaimentuvat. Se, kuinka hyvin suojamateriaali toimii tässä tehtävässä, riippuu suojauksen tehokkuudesta (SE) seuraavasti:

Huomautus: Ensimmäinen termi edustaa heijastushäviötä ja toinen termi absorptiohäviötä.
EMI-suojauksen tyypit EMI-suojauksen tyyppi riippuu suurelta osin tuotteen tyypistä, sähkömagneettisista vaatimuksista ja ympäristöolosuhteista. Yleisimmät EMI-suojat ovat seuraavat: - EMI-tiivisteet - EMI-suojanauhat - metallipidikkeet - suojatut kaapit EMI-tiivisteet EMI-tiivisteitä käytetään kahden mekaanisen pinnan välisten epäsäännöllisten, mutta olemassa olevien mikroreikien peittämiseen. Paranna maadoitusliitäntää. Niissä on tarttuvia osia ja monia profiileja, joten ne sopivat helposti erilaisiin mekaanisiin liitoksiin.
EMI Shielding Tape EMC-teippi on ensimmäinen valinta, kun haluat varmistaa, että kaikki mikroläpiviennit on peitetty, mutta siinä ei ole paljon pystysuoraa tilaa lisävarusteille, kuten EMI-tiivisteille. Näissä nauhoissa on erittäin johtavaa materiaalia (kuten nikkeliä tai kuparia) päällä ja liimaa toisella puolella.
Metallikiinnikkeet Jokainen laite tarvitsee lyhyen, leveän ja suoran maadoitusjohdon, ja jos tätä yhteyttä ei tehdä kunnolla, muodostuu ei-toivottuja monopoleja, jotka synnyttävät säteileviä sähkömagneettisia kenttiä. Metallipiinnikkeet parantavat tätä yhteyttä ja vahvistavat mekaanista yhteyttä. Suojatut kaapit Häiriölähteille, kuten prosessoreille, muisti-IC:ille ja radiotaajuuksille (RF) tasolle, on erinomainen valinta käyttää suojakaappeja PCB-kerroksen yksittäiseen suojaukseen.
Johtopäätös Kaikki piirit lähettävät sähkömagneettista säteilyä ja muut piirit säteilevät niitä helposti. Tuotteesi markkinoille saattamiseen tarvittavien sertifikaattien saaminen voi olla tuskallinen testausprosessi. Erilaiset EMI-suojauksen muodot ja tyypit ovat olennaisia EMI-ongelmien ratkaisemisessa.






